Mblidhet sot Qeveria, këto janë 21 pikat e rendit të ditës
Qeveria e Republikës së Kosovës do të mbaj sot mblidhjen e radhës e cila fillon në ora 11:00.
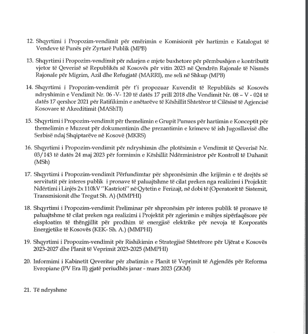
Në mbledhjen e 145-të me radhë Kurti dhe kabineti i tij do të shqyrtojnë në këtë 21 pika të rendit të ditës.
Ndër të tjera, Qeveria e Kosovës sot do të shqyrtojë Projektligjin për Ratifkimin e Traktatit ndërmjet Republikës së Kosovës dhe Mbretërisë së Danimarkës për shfrytëzimin e Institucionit Korrektues në Gjilan me qëllim të ekzekutimit të dënimeve daneze.
Po ashtu, në këtë mbledhje do të shqyrtohet projektligji për Fondin Sovran.
Shqyrtimi i Projekt-udhëzimit Administrativ për Masat për Parandalimin dhe Mbrojtjen e Fëmijës nga Abuzimi me Narkotikë do të jetë edhe një nga pikat e rendit të ditës dhe po ashtu edhe Shqyrtimi i Propozim-vendimit për ndryshimin dhe plotësimin e Vendimit të Qeverisë të datës 24 maj 2023 për formimin e Këshillit Ndëministror për Kontroll të Duhanit.



